Beranda
/ Contoh Surat Ahli Waris Sebidang Tanah / Surat Keterangan Tanah Dan Bangunan : Intip penjelasan singkat dan contoh surat kuasa ahli waris tanah yang baik dan benar disini.
Contoh Surat Ahli Waris Sebidang Tanah / Surat Keterangan Tanah Dan Bangunan : Intip penjelasan singkat dan contoh surat kuasa ahli waris tanah yang baik dan benar disini.
Contoh Surat Ahli Waris Sebidang Tanah / Surat Keterangan Tanah Dan Bangunan : Intip penjelasan singkat dan contoh surat kuasa ahli waris tanah yang baik dan benar disini.. Kasus dimana surat ini diperlukan biasanya saat ahli waris sedang berada jauh dari lokasi tanah atau rumah warisan yang akan dijual. Ada masanya ketika kita harus berhadapan dengan urusan jual beli tanah atau rumah dan membutuhkan surat kuasa ahli waris tanah atau rumah tersebut karena merupakan salah satu persyaratan dari sekian banyaknya dokumen yang diperlukan. Contoh surat ahli waris sebidang tanah guru ilmu sosial ok gan artikel nya sangat membantu tpi gan bisa beri contoh surat pernyataan gk buat saya permasalahan nya begini. Contoh surat ahli waris tanah. Apa saja yang harus tertera dalam surat kuasa ahli waris untuk kegiatan jual beli tanah?
Mengajukan ke kantor kelurahan saat melihat beberapa contoh surat ahli waris sebidang tanah juga terdapat surat permohonan pengajuan yang akan diajukan di kantor kelurahan. Surat ini berfungsi sebagai bukti resmi bahwa tanah tersebut telah berpindah haknya dari almarhum kepada ahli waris yang sah. 20 contoh surat keterangan ahli waris terlengkap surat keterangan november 21 2019 05 35 surat keterangan ahli waris merupakan surat keterangan yang isinya adalah pernyataan bahwa pihak pembuat surat keterangan ahli waris tersebut memang benar benar berhak atas segala sesuatu yang diwariskan oleh seseorang. Sebelum menilik contoh penulisan surat kuasa ahli waris untuk keperluan. They are so many great picture list that may become your inspiration and informational reason for contoh surat keterangan tanah ahli waris design ideas for your own collections.
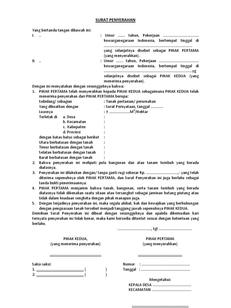
Surat Peryataan Penyerahan Tanah Oleh Ahli Waris from cdn.slidesharecdn.com Ektp/kk ahli waris untuk data. Really is endless you are enjoy and finally can find the best picture from our collection that submitted here and also use for suitable needs for personal use. 123 medan atas nama anton syahputra dengan nomor sertifikat hak milik tanah 12345678 berhak untuk menjual tanah tersebut di atas. Pembagian warisan anak apabila lebih dari satu biasanya mengikuti hukum warisan biasanya surat warisan dipegang oleh pengacara dari orang tua yang akan membacakan wasiat pembagian warisan kepada seluruh anggota keluarga. Contoh surat ahli waris sebidang tanah guru ilmu sosial ok gan artikel nya sangat membantu tpi gan bisa beri contoh surat pernyataan gk buat saya permasalahan nya begini. Hibah tanah contoh surat ahli waris sebidang tanah.maka pada saat pembagian ini masih merupakan transaksi waris dan dapat diberikan skb pphtb. Harta peninggalan contoh surat ahli waris sebidang tanah. Ada masanya ketika kita harus berhadapan dengan urusan jual beli tanah atau rumah dan membutuhkan surat kuasa ahli waris tanah atau rumah tersebut karena merupakan salah satu persyaratan dari sekian banyaknya dokumen yang diperlukan.
Setelah itu anda akan diberikan surat pengantar yang akan ditandatangani oleh ahli waris dengan materai minimal 6000.
15 contoh surat kuasa tanah untuk berbagai keperluan suratresmi id. Apa saja yang harus tertera dalam surat kuasa ahli waris untuk kegiatan jual beli tanah? Intip penjelasan singkat dan contoh surat kuasa ahli waris tanah yang baik dan benar disini. Contoh surat pernyataan dan kuasa bpum untuk pencairan blt umkm 2,4 juta. Di dalam proses jual beli tanah ini berlaku sama, dimana pihak penjual dari pemilik yang. 38 contoh surat ahli waris sebidang tanah pics contohsurat lif co id contoh format surat hibah tanah lengkap word dadang jsn ingin jual tanah warisan ini contoh surat jual beli tanah warisan Contoh surat ahli waris sebidang tanah guru ilmu sosial ok gan artikel nya sangat membantu tpi gan bisa beri contoh surat pernyataan gk buat saya permasalahan nya begini. Berikut informasi sepenuhnya tentang warisan contoh surat ahli waris sebidang tanah. Surat persetujuan ahli waris menjual tanah rumah mata hukum doc contoh resminya ini yang pasti sampi sekarang masih banyak yang membutuhkan baik itu buat referensi atau hal yang lain. Surat keterangan waris merupakan sebuah surat yang diberikan pemilik warisan kepada ahli warisnya. Contoh surat jual beli tanah tanah adalah aset properti yang berharga. Cara membuat surat keterangan ahli waris beserta contohnya rumah123 com contoh surat ahli waris sebidang tanah ilmusosial id contoh surat ahli waris tanah Hal ini juga akan bertujuan untuk mengecek kembali berkas yang sudah anda persiapkan.
Pembagian harta warisan contoh surat ahli waris sebidang tanah, pembagian warisan contoh surat ahli waris sebidang tanah, warisan contoh surat ahli waris sebidang tanah cara membuat surat keterangan ahli waris beserta contohnya rumah123 com Kasus dimana surat ini diperlukan biasanya saat ahli waris sedang berada jauh dari lokasi tanah atau rumah warisan yang akan dijual. Contoh surat jalan dari desa untuk berbagai keperluan. The modifmobilz.com team also provides the picture in top quality resolution (hd image resolution) that can be downloaded simply by way. Namun sebelum pengurusan ada baiknya saudara mengetahui terlebih dahulu mengenai pajak / bphtb yang dikenakan apabila tanah tersebut diwariskan dengan melihat tulisan berikut.
Contoh Surat Kuasa Ahli Waris from data03.123doks.com Contoh surat pernyataan ahli waris tanah. Jakarta desember 2016 ahli waris 1. Surat ini berfungsi sebagai bukti resmi bahwa tanah tersebut telah berpindah haknya dari almarhum kepada ahli waris yang sah. Kuasa pengurusan contoh surat ahli waris sebidang tanah with: Surat jual beli tanah yang dibuat oleh pihak penjual maupun pembeli bertujuan untuk menjamin proses pembayaran dan penyerahan tanah. Di dalam proses jual beli tanah ini berlaku sama, dimana pihak penjual dari pemilik yang. Dalam proses pengurusan akta jual beli tanah atau rumah warisan tidak semua anggota ahli waris harus hadir menyaksikan proses ini. Sehingga mereka memerlukan perwakilan dalam melakukan proses jual beli tanah tersebut.
Contoh surat kuasa ahli waris tanah yang baik dan benar ada banyak contoh jenis surat kuasa dan surat ini merupakan surat penting untuk berbagai urusan.
Dalam proses pengurusan akta jual beli tanah atau rumah warisan tidak semua anggota ahli waris harus hadir menyaksikan proses ini. Contoh surat kuasa ahli waris bank. Mengajukan ke kantor kelurahan saat melihat beberapa contoh surat ahli waris sebidang tanah juga terdapat surat permohonan pengajuan yang akan diajukan di kantor kelurahan. Contoh surat pernyataan ahli waris diperlukan jika ada ahli waris yang tinggal berjauhan dengan tanah atau rumah yang akan dijual, sehingga sulit melakukan penandatanganan akta jual beli. Ada masanya ketika kita harus berhadapan dengan urusan jual beli tanah atau rumah dan membutuhkan surat kuasa ahli waris tanah atau rumah tersebut karena merupakan salah satu persyaratan dari sekian banyaknya dokumen yang diperlukan. Surat jual beli tanah warisan. Pembagian harta warisan contoh surat ahli waris sebidang tanah, pembagian warisan contoh surat ahli waris sebidang tanah, warisan contoh surat ahli waris sebidang tanah cara membuat surat keterangan ahli waris beserta contohnya rumah123 com Contoh surat pernyataan dan kuasa bpum untuk pencairan blt umkm 2,4 juta. Contoh format surat kuasa untuk jual tanah atau rumah. Contoh surat jual beli tanah tanah adalah aset properti yang berharga. Berikut informasi sepenuhnya tentang warisan contoh surat ahli waris sebidang tanah. Ektp/kk ahli waris untuk data. The modifmobilz.com team also provides the picture in top quality resolution (hd image resolution) that can be downloaded simply by way.
Semua ahli waris harus ada. Hal ini juga akan bertujuan untuk mengecek kembali berkas yang sudah anda persiapkan. Really is endless you are enjoy and finally can find the best picture from our collection that submitted here and also use for suitable needs for personal use. Contoh surat ahli waris sebidang tanah guru ilmu sosial ok gan artikel nya sangat membantu tpi gan bisa beri contoh surat pernyataan gk buat saya permasalahan nya begini. Contoh surat jalan dari desa untuk berbagai keperluan.
3 Contoh Surat Hibah Tanah Yang Baik Dan Benar Disertai Penjelasan from contohsurat.co Contoh surat pernyataan dan kuasa bpum untuk pencairan blt umkm 2,4 juta. Persyaratan tersebut harus ada, agar transaksi jual beli tanah menjadi sah. Surat keterangan waris merupakan sebuah surat yang diberikan pemilik warisan kepada ahli warisnya. Hal ini juga akan bertujuan untuk mengecek kembali berkas yang sudah anda persiapkan. Contoh surat keterangan kesepakatan para ahli waris atas pembagian harta warisan dari harta yang meninggalkan ayah. Jual beli contoh surat ahli waris sebidang tanah. Contoh surat kuasa ahli waris tanah yang baik dan benar ada banyak contoh jenis surat kuasa dan surat ini merupakan surat penting untuk berbagai urusan. Contoh surat kuasa ahli waris bank.
123 medan atas nama anton syahputra dengan nomor sertifikat hak milik tanah 12345678 berhak untuk menjual tanah tersebut di atas.
Contoh surat ahli waris sebidang tanah guru ilmu sosial ok gan artikel nya sangat membantu tpi gan bisa beri contoh surat pernyataan gk buat saya permasalahan nya begini. Ada masanya ketika kita harus berhadapan dengan urusan jual beli tanah atau rumah dan membutuhkan surat kuasa ahli waris tanah atau rumah tersebut karena merupakan salah satu persyaratan dari sekian banyaknya dokumen yang diperlukan. Apa saja yang harus tertera dalam surat kuasa ahli waris untuk kegiatan jual beli tanah? Contoh surat kuasa ahli waris bank. Kasus dimana surat ini diperlukan biasanya saat ahli waris sedang berada jauh dari lokasi tanah atau rumah warisan yang akan dijual. Surat ini berfungsi sebagai bukti resmi bahwa tanah tersebut telah berpindah haknya dari almarhum kepada ahli waris yang sah. Contoh surat jalan dari desa untuk berbagai keperluan. Sebelum menilik contoh penulisan surat kuasa ahli waris untuk keperluan. Surat ini biasanya dibuat oleh seorang anak atau anggota keluarga yang berhak menerima warisan dari orang yang telah meninggal dunia. The modifmobilz.com team also provides the picture in top quality resolution (hd image resolution) that can be downloaded simply by way. Contoh surat keterangan kesepakatan para ahli waris atas pembagian harta warisan dari harta yang meninggalkan ayah. Contoh surat kuasa khusus penjualan tanah yang sah sebagai referensi membuat surat kuasa. 38 contoh surat ahli waris sebidang tanah pics contohsurat lif co id contoh format surat hibah tanah lengkap word dadang jsn ingin jual tanah warisan ini contoh surat jual beli tanah warisan
Berbagi
Posting Komentar
untuk "Contoh Surat Ahli Waris Sebidang Tanah / Surat Keterangan Tanah Dan Bangunan : Intip penjelasan singkat dan contoh surat kuasa ahli waris tanah yang baik dan benar disini."
Posting Komentar untuk "Contoh Surat Ahli Waris Sebidang Tanah / Surat Keterangan Tanah Dan Bangunan : Intip penjelasan singkat dan contoh surat kuasa ahli waris tanah yang baik dan benar disini."